It can be used at any grade level. Try it risk free for 30 days instructor.
Christina Hillis 5 E Lesson Plan Kite Activity Science Lesson Plans Lesson Plan Templates Math Lesson Plans
This lesson model inherently incorporates differentiation and gets students doing science instead of being lectured about sciencemost importantly its.
5 e lesson plan template. This lesson plan template is largely based on lakenna chitman bookers book the 5 es of inquiry based science. Free 5 e lesson plan template for classroom use. Dominique broomfield med author from colorado usa on september 27 2018.
5e student lesson planning template author. Improving student engagement during distance learning pd course steps to literacy classroom books leveled readers. 5e lesson plan template.
Lets explore 5e and how it might look when enhanced with technology. This lesson plan template is for one week and is fully editable. A very clear cut and insightful presentation on the 5 es lesson plan.
Chapter 4 lesson 12. I am seeing lots of request for additional resources and examples. Even within your district and states curriculum guidelines you can use a 5e lesson plan template to orient your daily lessons.
This should be embedded throughout the lesson as well as at the end of the lesson. Over 500 free lesson plan templates teacher planet. The components of the 5e model are engage explore explain elaborate evaluate.
Choose daily weekly or monthly templates. Asha manoj on september 28 2018. Sharon has an masters of science in mathematics and a masters in education.
If you have other examples from your own work or online please share them in the comments below. 6222012 25900 am company. The 5et model sample lesson plan.
Vivian cunningham created date. The 5 es are. One popular approach to lesson planning is the 5e model engage explore explain elaborate and evaluate.
5 e lesson plan template. Pls send a lesson plan based on 9th class. 5e student lesson planning template.
The 5e model is a constructivist approach to instruction meaning that the content builds on students previous knowledge and reasoning to teach them new information. Xpsetup last modified by. Ready to use lesson plan templates by grade level subject area or common core.
Find the resources you need. Each day of the week has a column for the days lesson using the 5e model. 5 e lesson plan template.
Cell 5e Lesson Plan Ashlee Smith Middle School Lesson Plans Science Lessons Elementary Lesson Plan Template
This Is A 5e Lesson Plan Format For A Week That Can Be Downloaded And Used For Lesson Planning Lesson Plan Examples Lesson Plan Format Education Lesson Plans
5 E Lesson Plan Format Vikramjit
5 E Lesson Plan Format For Science By Biology Buff Tpt
Math With Ms Routt Math Lesson And Assessment Journal Math Lesson Plans Template Science Lesson Plans Math Lesson Plans
Lesson Plan 1 Unit Lesson 5e Lesson Plan Template 2 Lesson Plan English Grammar
5e Student Lesson Planning Template Download As Doc Science Lesson Plans Science Lessons Lesson Plan Templates
5e Lesson Plan Template By Teacher Turned Tutor Tpt
5e Lesson Plan Template For Math Study Com
5e Lesson Plan Template Mammals Lesson Plan For 2nd 3rd Grade Lesson Planet
5 E Lesson Plan Template Blank Lesson Plan Template Lesson Plan Templates Science Lesson Plans Blank Lesson Plan Template
5e Lesson Plan Systems Of Equations By Wylie East High School Issuu
Ngss 5e Lesson Plan Template By Jessica Dunegan Tpt
Inquiry 5e Lesson Plan Question Lesson Plan
Great 5e Lesson Plan 5th Grade Math 33 5 E Lesson Plan Template Science 5 E Lesson Plan 011 Unit Pla Ota Tech
5e Lesson Plan Template Graphic Organizer By Teacher Turned Tutor
5e Lesson Plan Lesson Plan Teaching
Fillable Online 5e Lesson Plan Template Solution Tree Fax Email Print Pdffiller
Excellent 5e Lesson Plan Examples 58 Elegant Home Economics Lesson Plans House Floor Plans Hous Ota Tech
5e Lesson Plan Template By Mrs Claibornes Classroom Tpt
Excellent 5e Lesson Plan Math 8th Grade 6 5 E S Lesson Plan Template Sales Res Ota Tech
Https Encrypted Tbn0 Gstatic Com Images Q Tbn 3aand9gcrv0gtk1wgcz4yff7hexll9u3lbbjbv30oco8fugth1wz1drnbm Usqp Cau
The 5e Model Our New Lesson Plans Lesson Plan Template Free Lesson Plan Templates Science Lesson Plans
Inquiry 5e Lesson Plan Template Google Docs Lesson Plan Question
The Science School Yard 5 E Lesson Planning Time
5e Lesson Plan Template By Danielle Harrison Teachers Pay Teachers
Pdf Development Of A Template Lesson Plan Based On 5e Model Enhanced With Computer Supported Applications And Conceptual Change Texts
Reading Fluency 5e Lesson Plan By Krista Olien Tpt
Lists 5e Lesson Plan For Spanish Downloads Manual Expression
5 E Lesson Plan Template Esc 20
5e Student Lesson Planning Template
Briliant 5e Model Lesson Plan Example 33 5 E Lesson Plan Template Science I Innovate Lesson Template Ota Tech
5 E S Lesson Plan Template For Math Teacher Tech
Edc274 5e Lesson Plan Rocky Cycle Lesson Plan Project Based Learning
Step 1 5e Lesson Plan Format Day And Night The Teachhouston
5e 3 Dimensional Design Science Lesson Plan Template By Melissa Miller
5e Lesson Plan Template S2 Science The Uteach Institute
5e Lesson Plan Template Earth Science Water Erosion Lesson Plan For 4th Grade Lesson Planet
5e Lesson Plan Quadratic Equation Review By Wylie East High School Issuu
Eagle Bits And Bytes 5e And Madeline Hunter Lesson Plan Templates
Lesson Plan 2 5e Lesson Plan Template Final M5a1 Lesson Plan Paintings
5e Student Lesson Planning Template
Two Lesson Plan Template With 5 E
Best Model Lesson Plan For Science 5e Lesson Plan Template 7 Best Model Social Studies 8 Scienc Ota Tech
Ngss 5 E Lesson Plan Template By Rebecca Young Tpt
Reggio Emilia Lesson Plan Example E Learning Lesson Plan Template Reggio Emilia Less Middle School Lesson Plans Science Lessons Elementary Lesson Plan Template
Https Encrypted Tbn0 Gstatic Com Images Q Tbn 3aand9gcso1mtmzenhctgidcyp9yl Po T63eixkkgyyvbfk1ges14cn5 Usqp Cau
5 E Lesson Plan Getting To Know Unknown Variables
Detailed Lesson Plan In Grade 5
5 E Model Lesson Plan Template Thematic Assignment States Of Matter Lesson Liquids Evaporation
5e Lesson Plan Windjammer By Wylie East High School Issuu
Elm Lesson Plan Elm 583 Elementary Clinical Practice Studocu
Electricity In Circuits 5e Lesson Plan Template Download Printable Pdf Templateroller
Interesting 5e Lesson Plan Social Science 29 Images Of Unit Plan Template 5e S Teacher Infovia Ota Tech
The 5e Model Our New Lesson Plans Queen Of The Jungle
Lesson Plan On Water Cycle Fill Online Printable Fillable Blank Pdffiller
5e Student Lesson Planning Template
5e Lesson Plan Systems Of The Body Classroom Lesson Plan
Ngss 5 E Interactive Lesson Plan Template By Steam Power Lessons
5e Science Lesson Plan Template Lovely 5 E Lesson Plan Template In 2020 Science Lesson Plans Lesson Plan Templates Math Lessons
5 E Model Lesson Plan 1st Six Wks
Typical Lesson Plan Sample 5e And Texas Classroom Interactions 5e Lesson Temp Ota Tech
Ppt Templates For 5e Lesson Development Powerpoint Presentation Free Download Id 4086049
Life Science 5e Lesson Plan Flower Power Flowers Biological Interactions
Lesson Planning Templates So Many Options Atlasnext
5e Student Lesson Planning Template
Https Www Studocu Com En Us Document Western Governors University Elementary Science Methods Assignments Wgu 5e Lesson Plan Template Task 1 2 8833185 View
Https Encrypted Tbn0 Gstatic Com Images Q Tbn 3aand9gcrv0gtk1wgcz4yff7hexll9u3lbbjbv30oco8fugth1wz1drnbm Usqp Cau
5e Lesson Plan Template Arkansas State Plans Other 5e Lesson Plan Template Author Christy Wortham
How To Write Ngss Lesson Plans Albert Io
27 Lesson Plan Examples For Effective Teaching Tips Templates Venngage
5 E Lesson Plan Template By Remade 5th Grade Teachers Pay Teachers
Eagle Bits And Bytes 5e And Madeline Hunter Lesson Plan Templates
Step 1 5e Lesson Plan Format Magnets What Do Teachhouston
5e Lesson Planning With Nearpod Nearpod Blog
5 Step Lesson Plan Template Study Com
Inquiry 5e Lesson Plan Template Iste Educator Educational Assessment Goal
Sample 5e Lesson Plan Sample 5e Lesson Plan Teacher Claudia Patteson C J Date March 9 2016 Subject Grade Level Social Studies English Language Arts Course Hero
27 Lesson Plan Examples For Effective Teaching Tips Templates Venngage
Department Of Mathematics And Science Ppt Video Online Download
7 5 E Lesson Plan Template Science 5e Example Social Studies Ota Tech
Pdf Development Of A Template Lesson Plan Based On 5e Model Enhanced With Computer Supported Applications And Conceptual Change Texts Semantic Scholar
Math With Ms Routt Math Lesson And Assessment Journal Math Lesson Plans Template Science Lesson Plans Math Lesson Plans
5 E Lesson Plan Sample By Lisa Graham Teachers Pay Teachers
5e Lesson Plan Template 3 Columns Lewis Center For Educational
Wgu 5e Lesson Plan Template Task 1 2 Educ 4240 Wgu Studocu
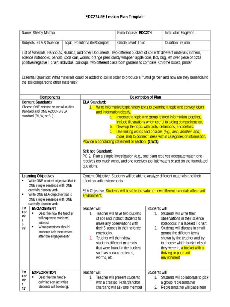
Edc274 5e Lesson Plan Pollution Lesson Plan Cognition
5e Lesson Plan Doc Isci 2002 5e Instructional Lesson Plan Selena Avalos Lesson Title On A Roll Grade Level Kindergarten Georgia Performance Standards Course Hero
Bsc 307 5 E Model Lesson Plan Doc Template Pdffiller
Https Encrypted Tbn0 Gstatic Com Images Q Tbn 3aand9gcrhk Fs4iwiwrnovqbzxswqdnx 2e Iprqwvyhdecsoxh855 Mk Usqp Cau
Math In Cte Lesson Plan Template
5e Lesson Plan Quadratic Equation Review By Wylie East High School Issuu
27 Lesson Plan Examples For Effective Teaching Tips Templates Venngage
The 5 E Model Weekly Lesson Plan Template By Discover With Quin Tpt







0 Comments